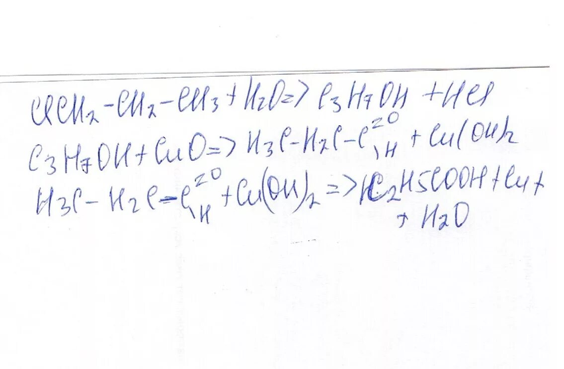
Cu oh 2 cuo h