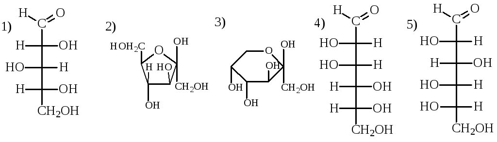
D галактоза d глюкоза