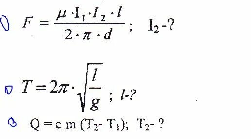
Данная формула выражает