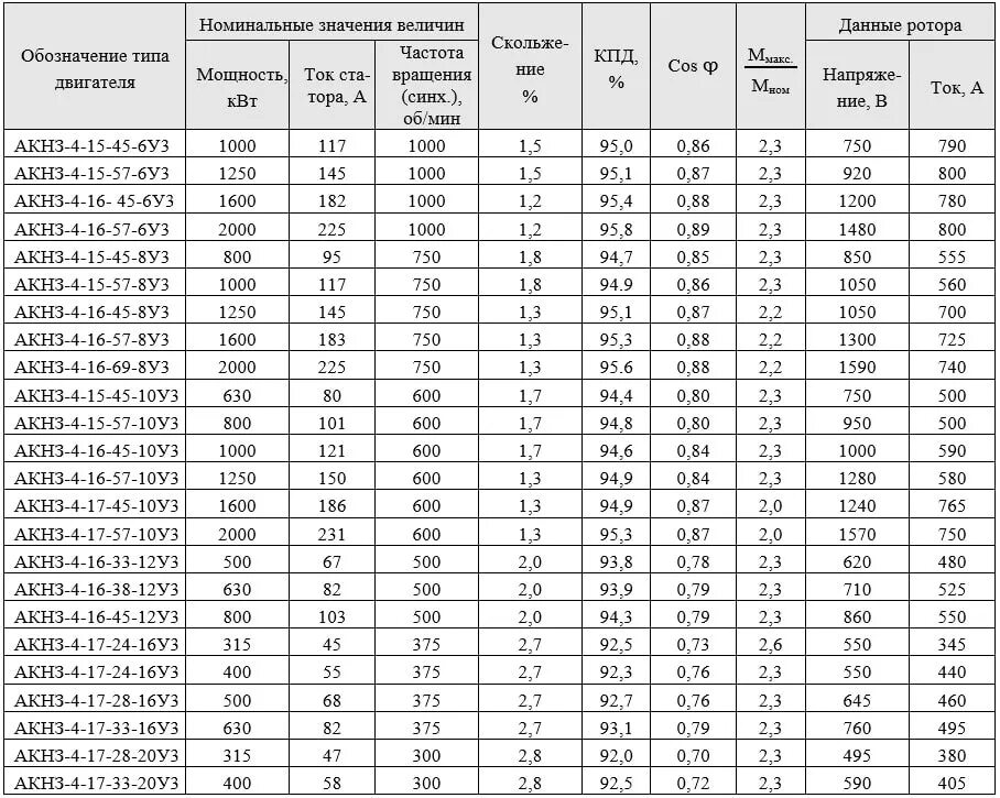
Данные асинхронных двигателей