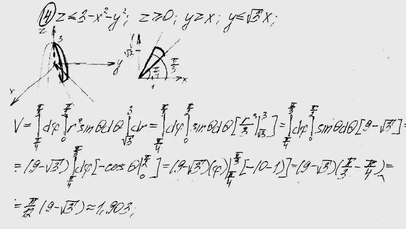
Дано f x y z 0