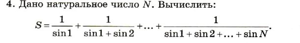
Дано натуральное вычислить