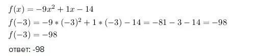
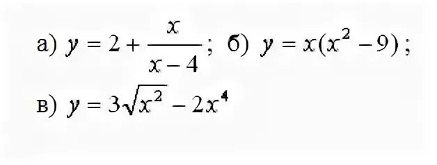
Даны функции y x 9