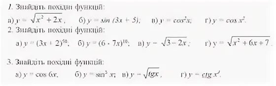
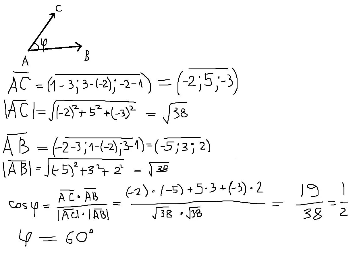
Даны точки м 3 1