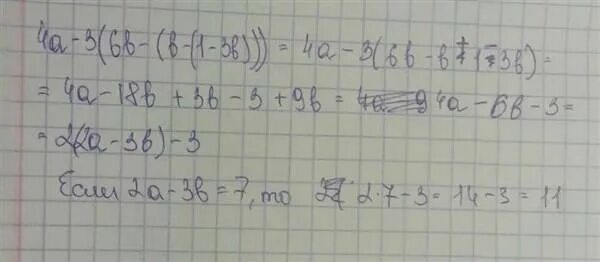
Даны векторы найдите значение выражения a b