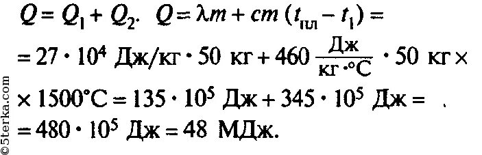
Деталь отлитая из меди имеет массу м