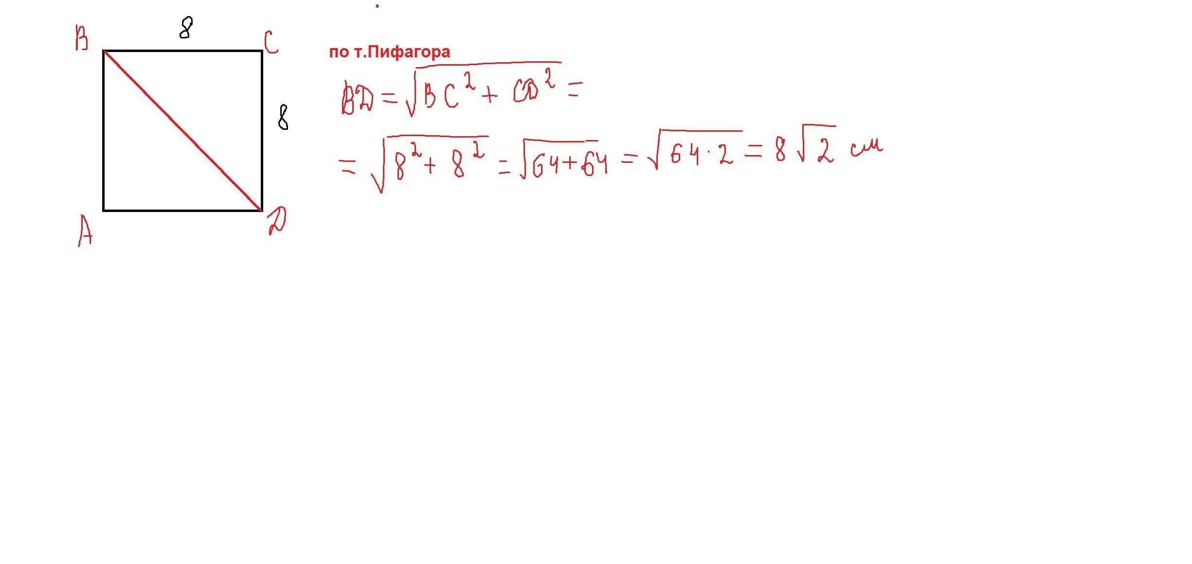
Диагональ квадрата равна 8 2