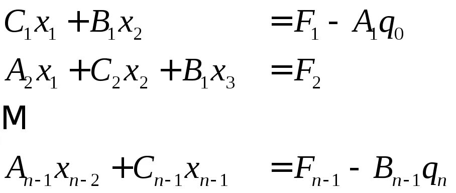
Диагональное преобладание матрицы