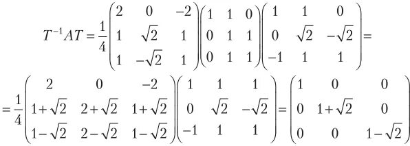
Диагональный вид матрицы линейного оператора