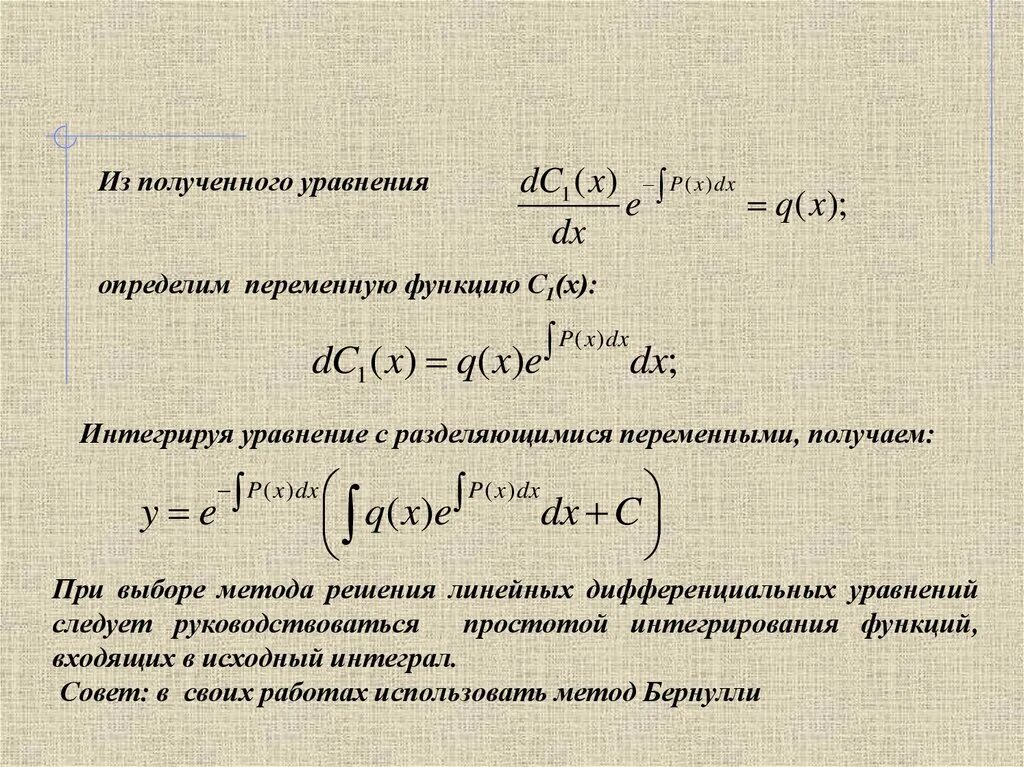
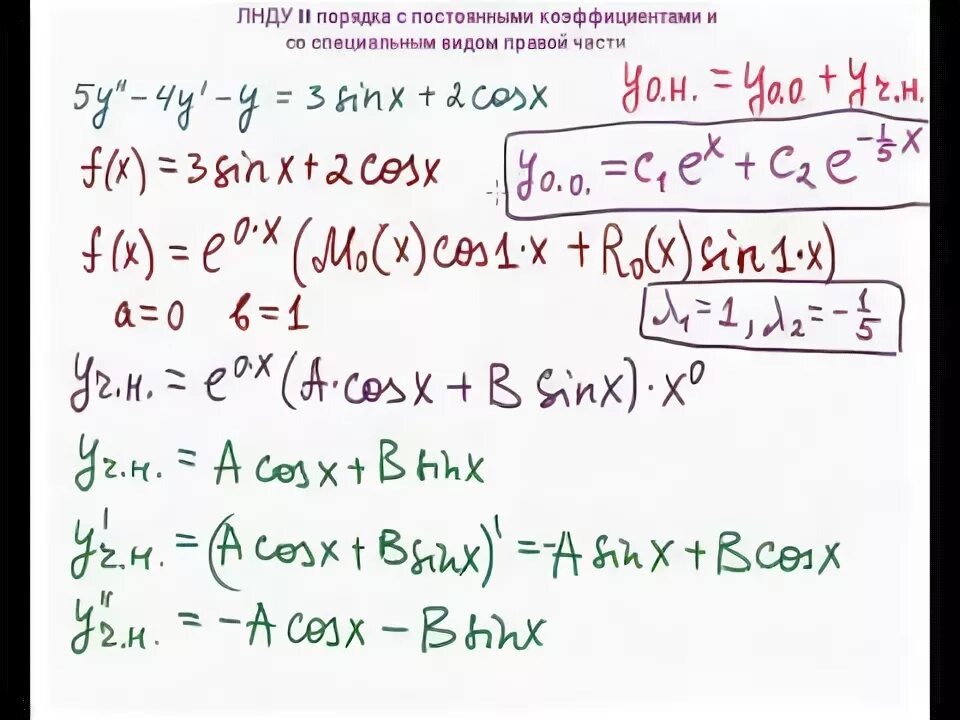
Дифференциальные уравнения со специальной