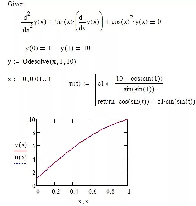
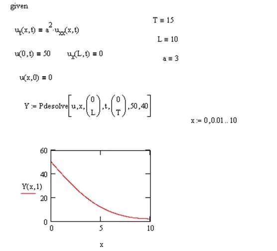
Дифференциальных уравнений в mathcad