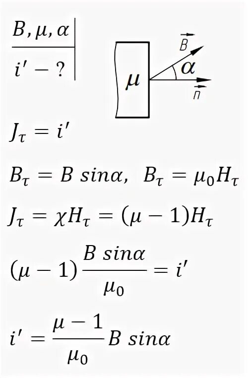
Distance functions