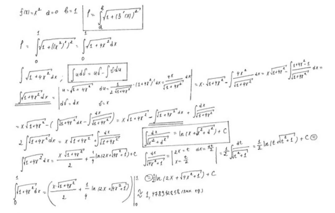
Длина дуги y x 2