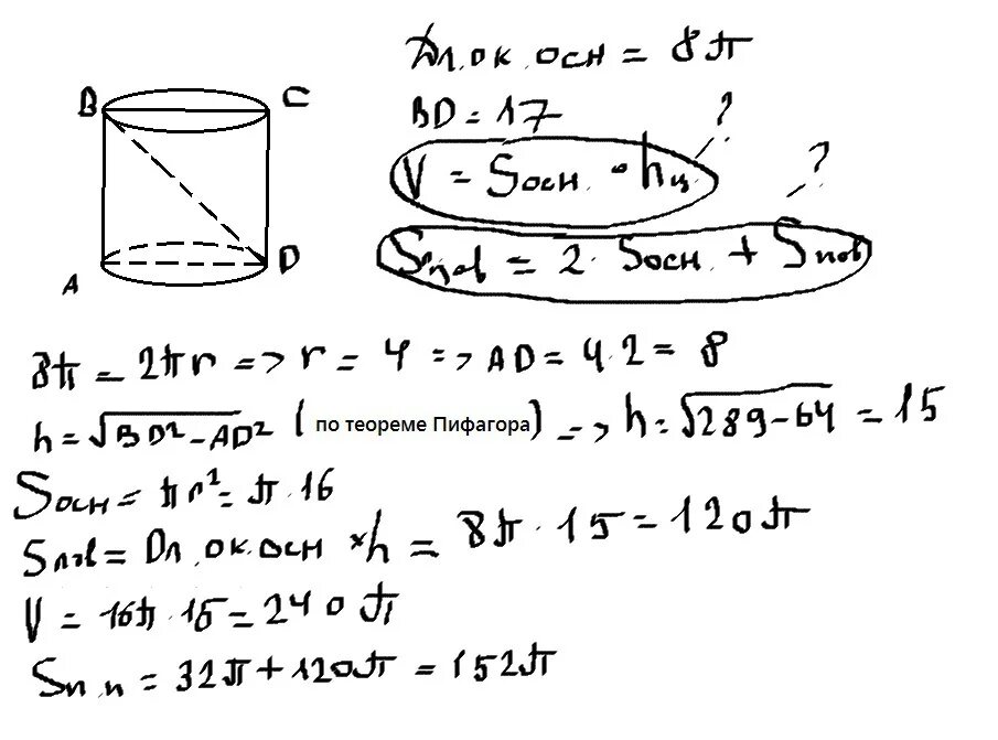
Длину диагонали осевого сечения цилиндра