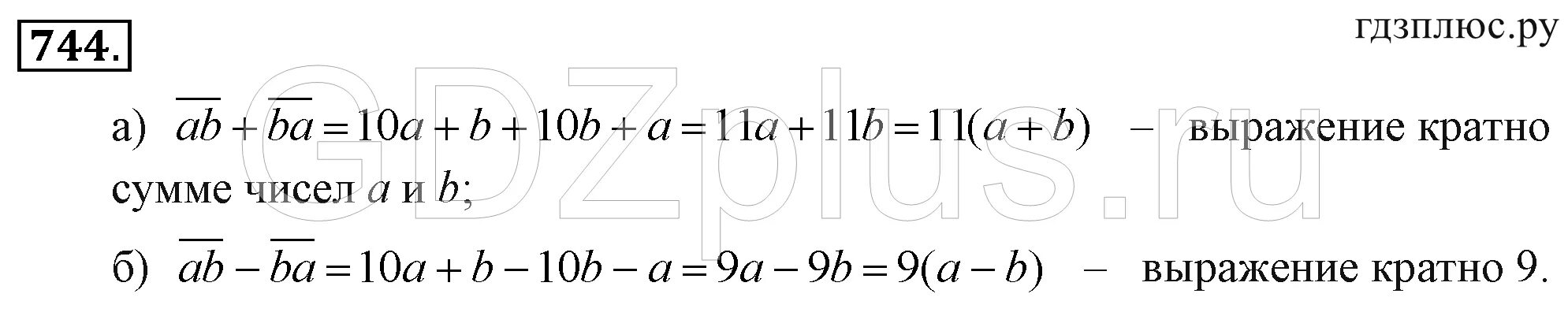
Докажите что выражение кратно