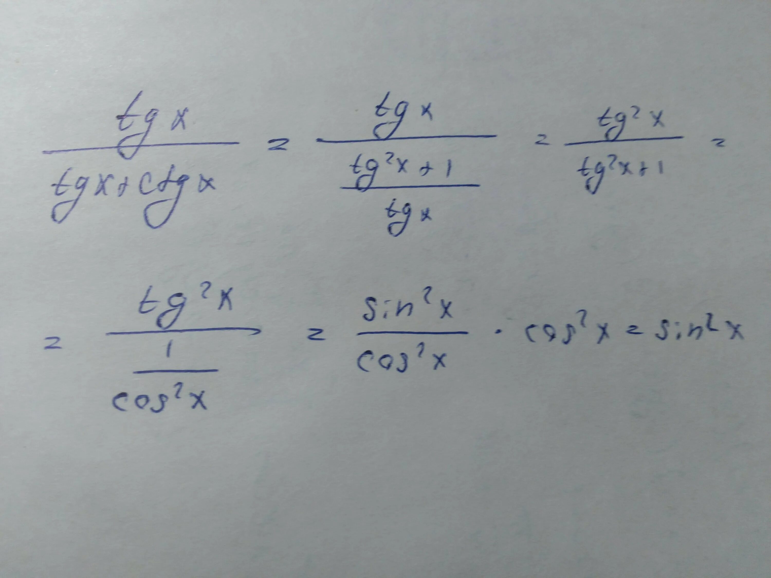
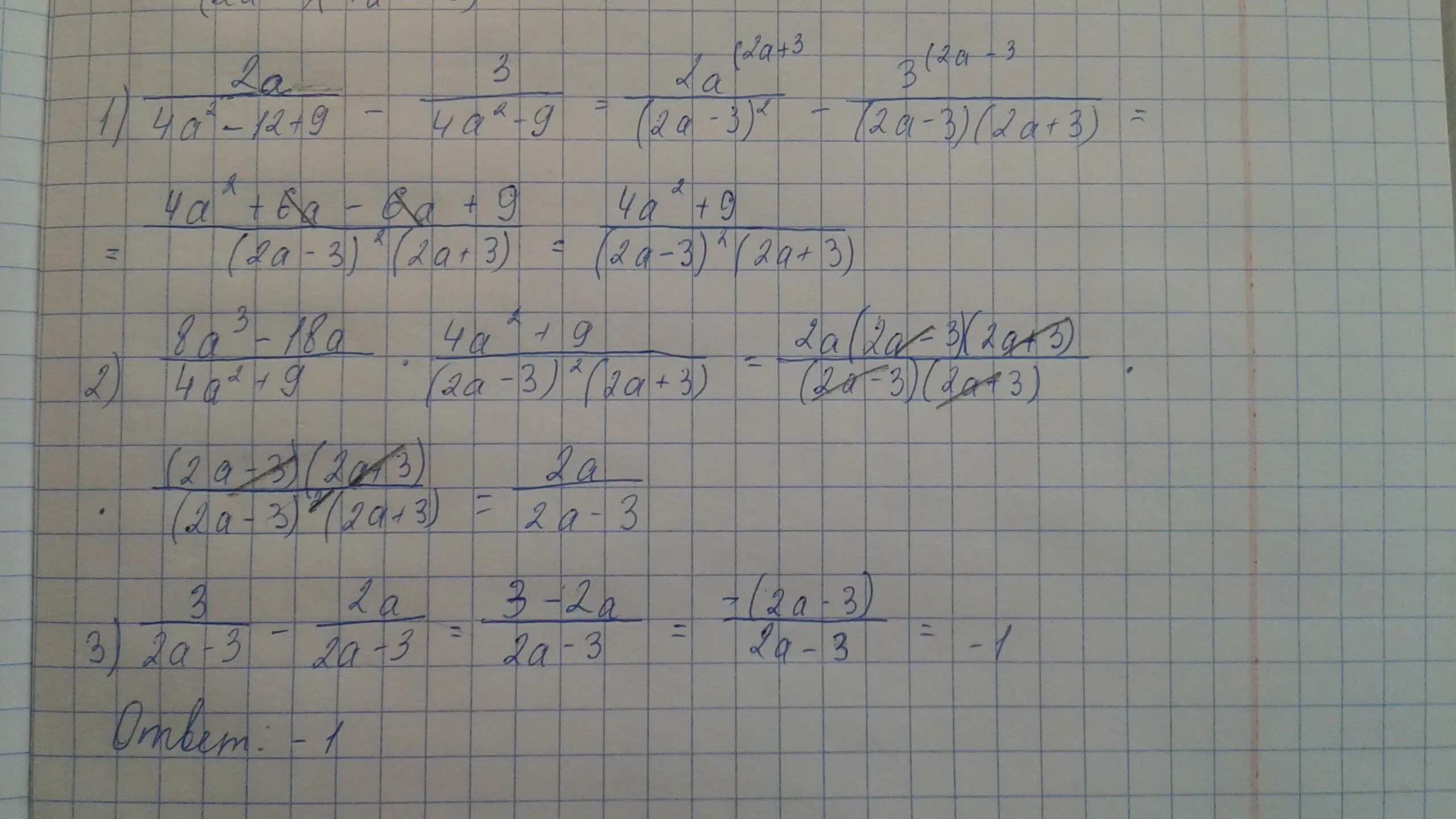
Докажите тождество x y 2