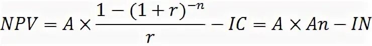
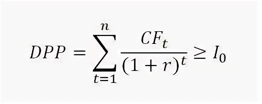
Dpp pi