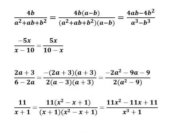
Дробь x 2 4x 3