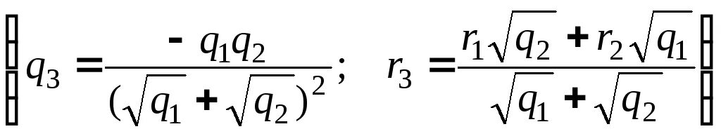
Два положительных заряда q и 3q