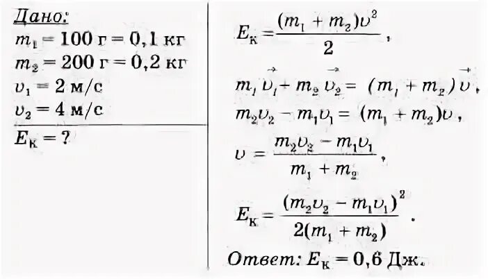
Два шара массами 100 г и 200