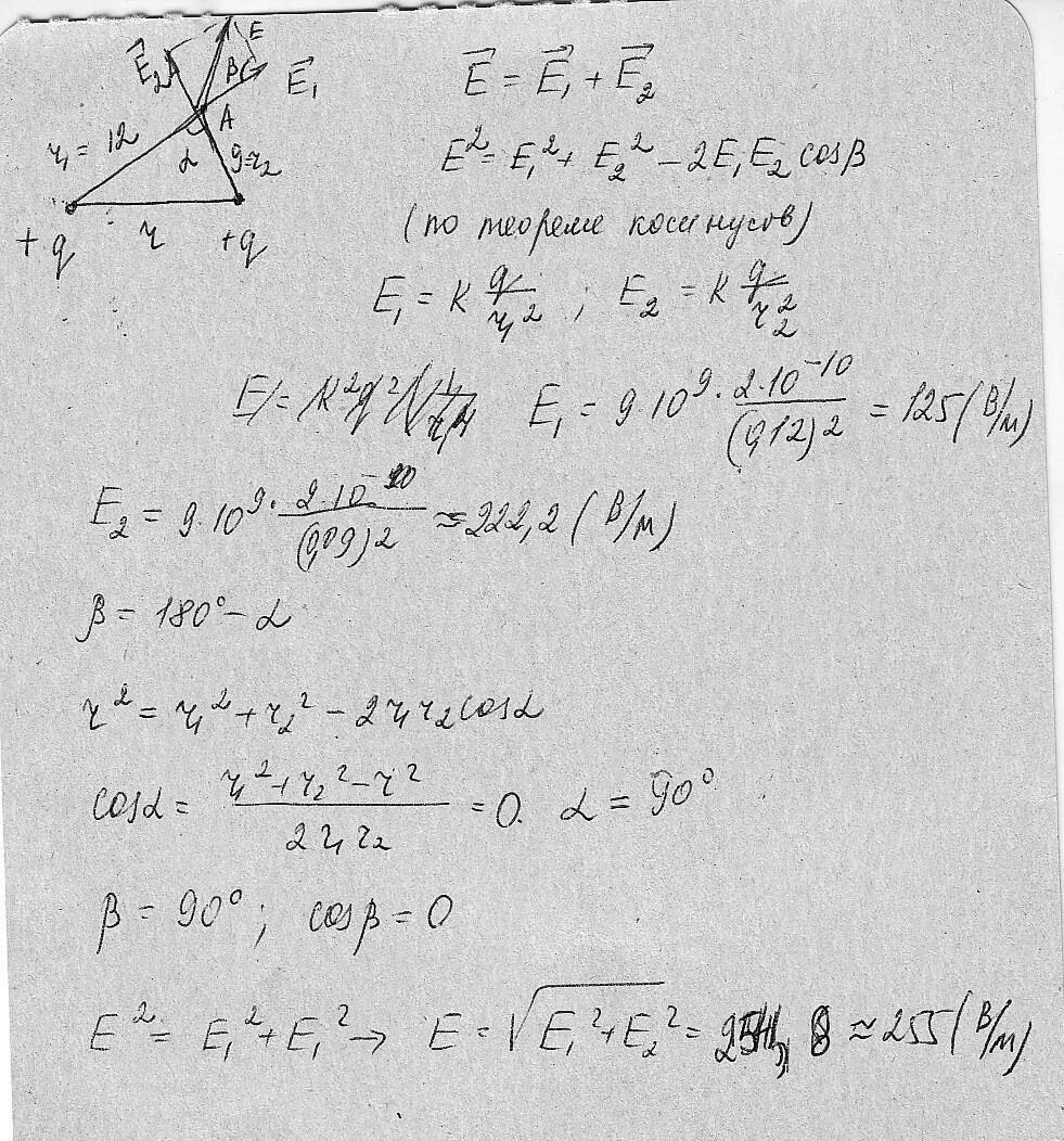
Два точечных заряда расположены в точках