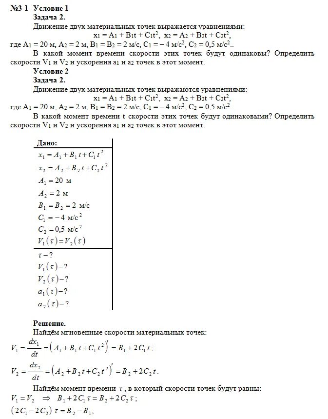
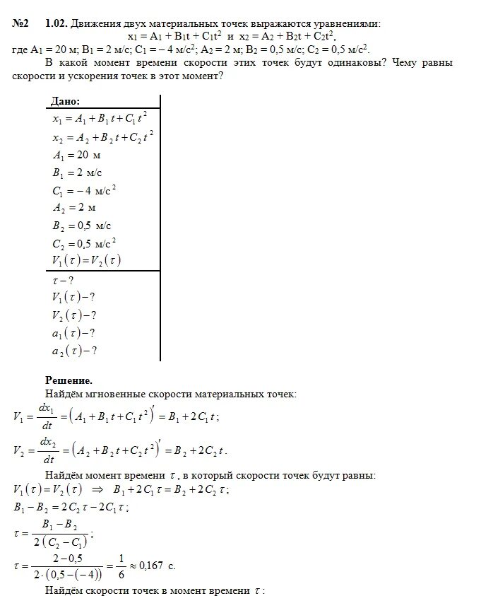
Движение материальных точек выражено уравнениями