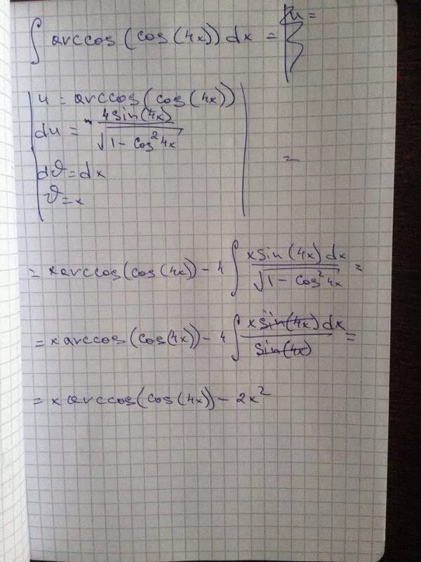
Dx cos 4x