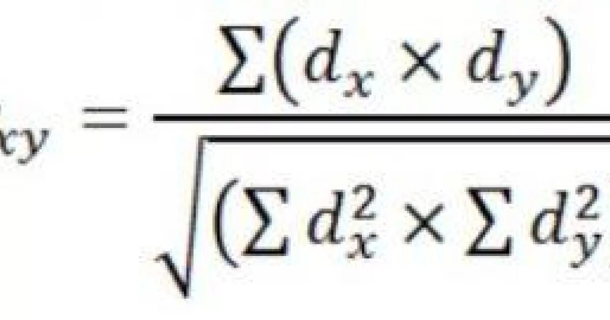
Dx формула