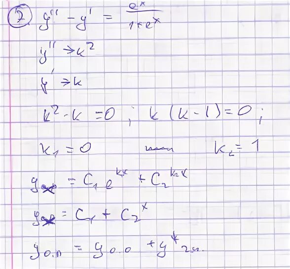
E x 2 2y 2