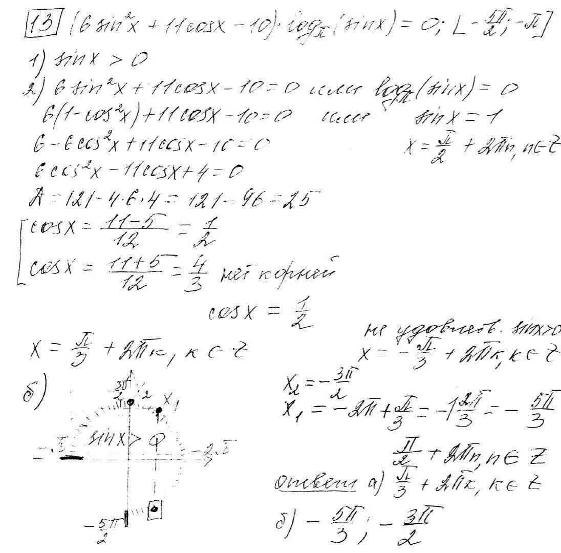
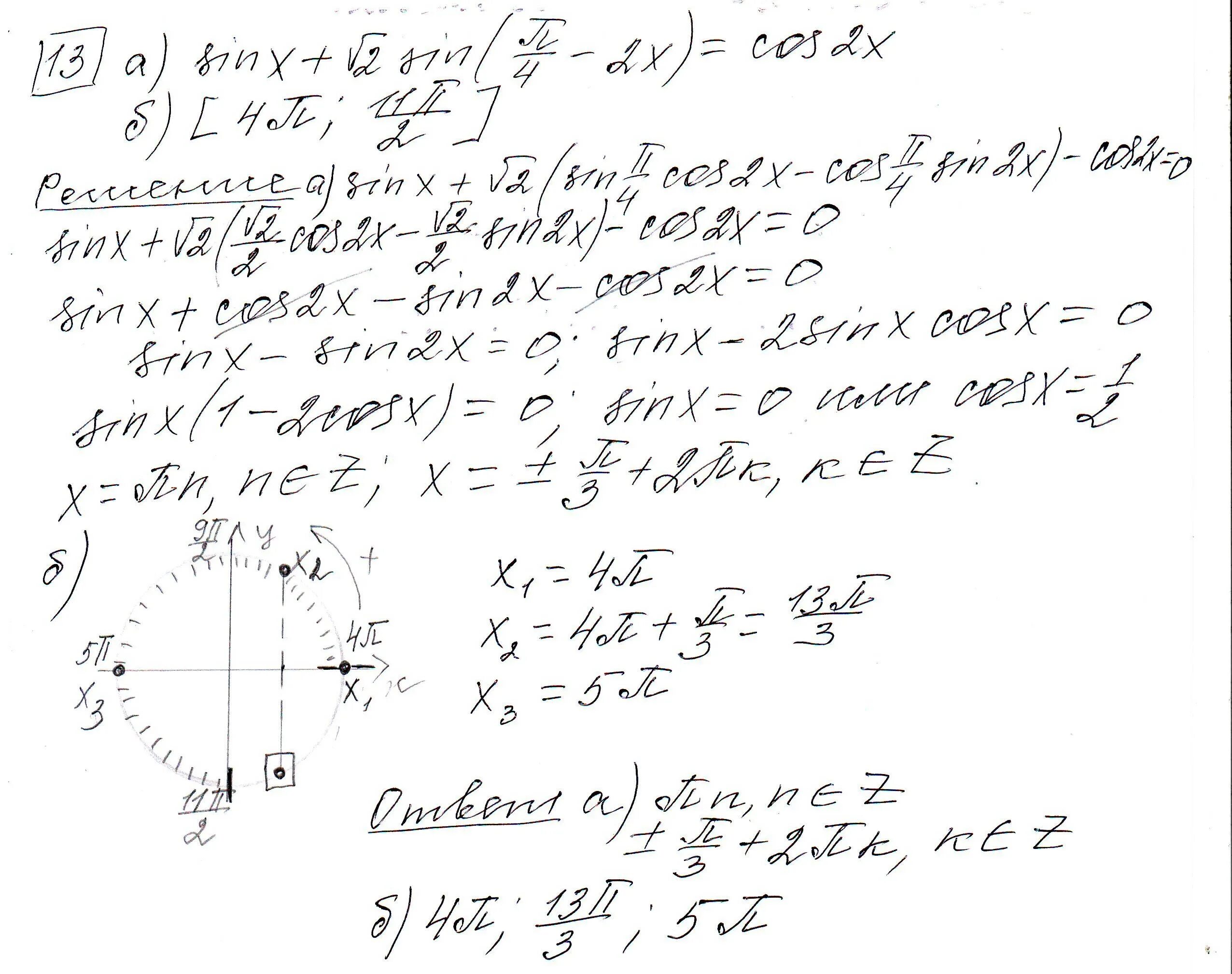
Егэ 2025 решение ященко 20 вариант