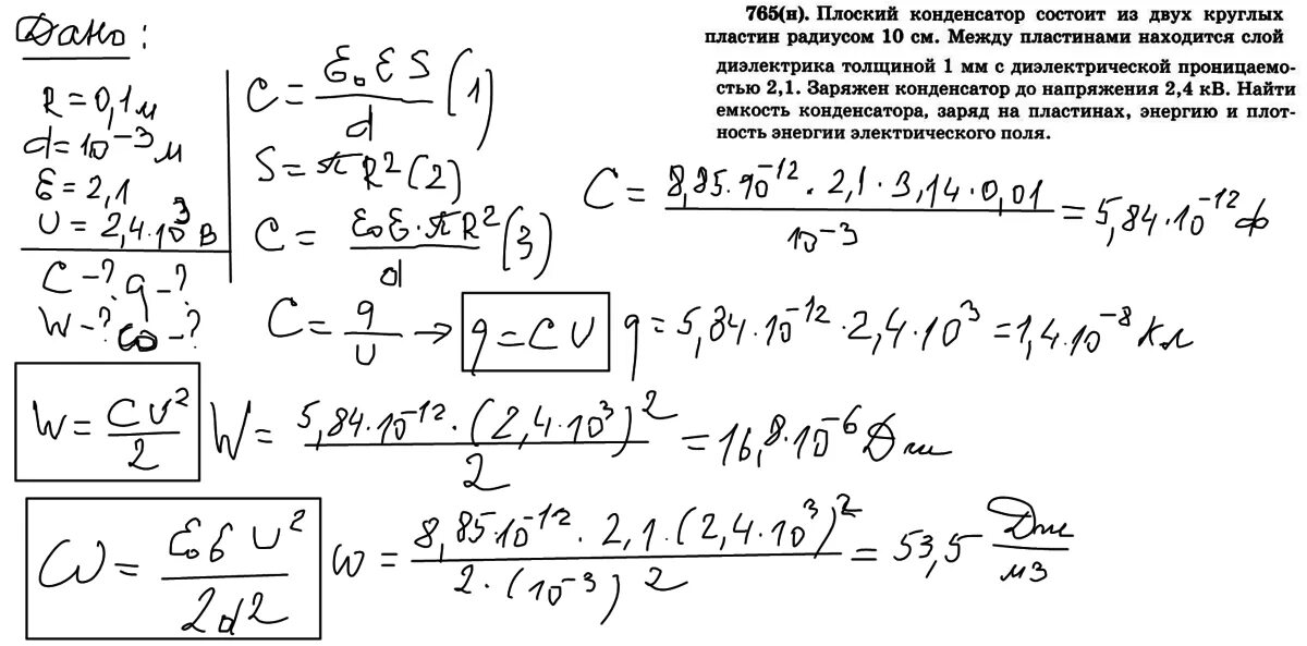
Емкость конденсатора уменьшили в 4 раза