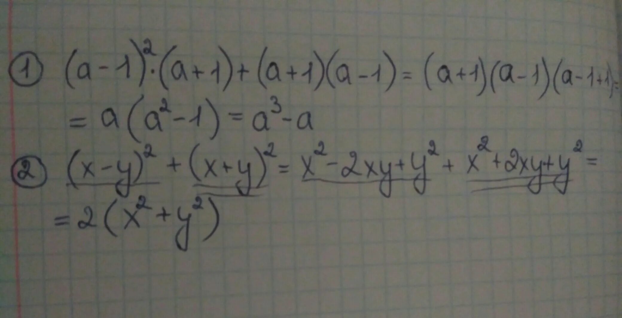
Если а 2 выражение а 4 5