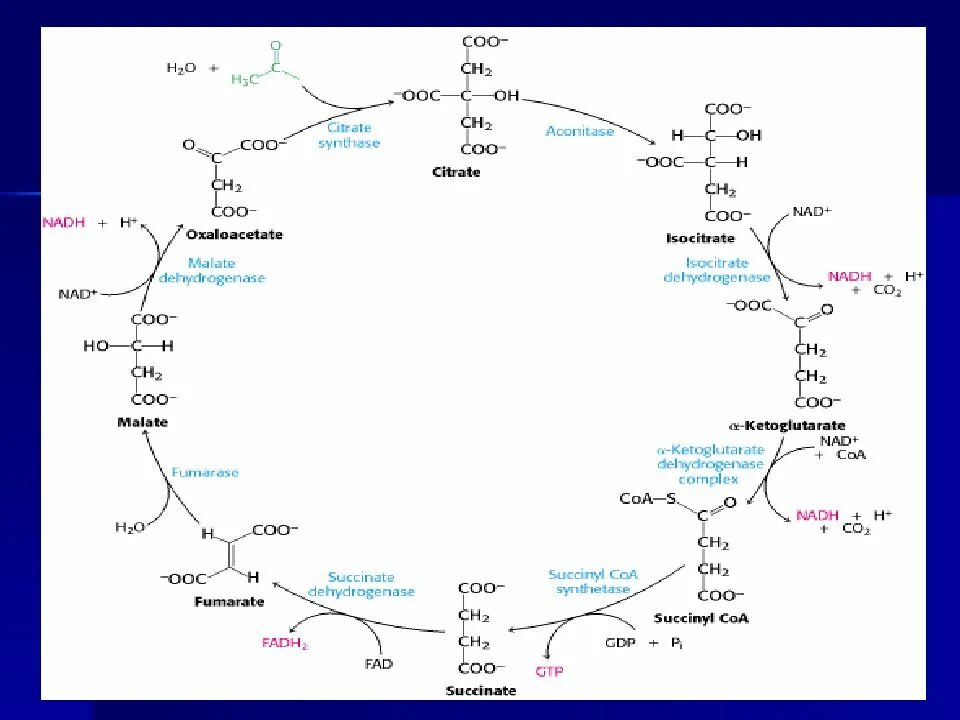
Этапы унификации субстратов