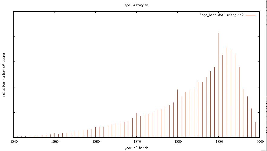
Exploring age