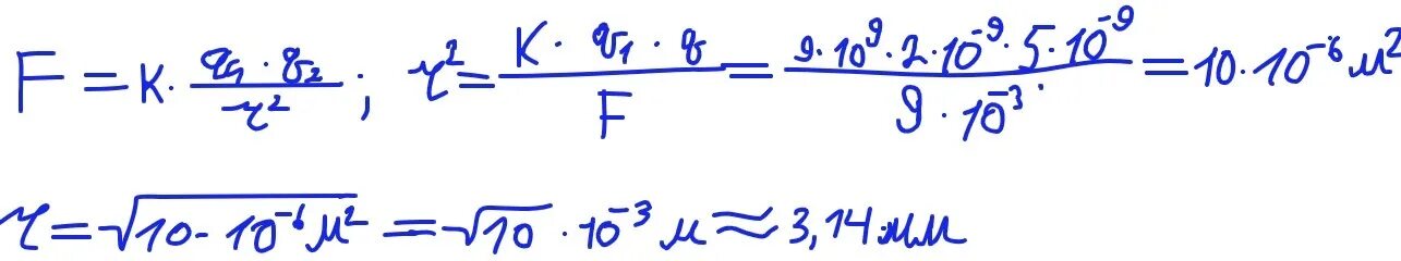
F k q1q2 r2 найти q2