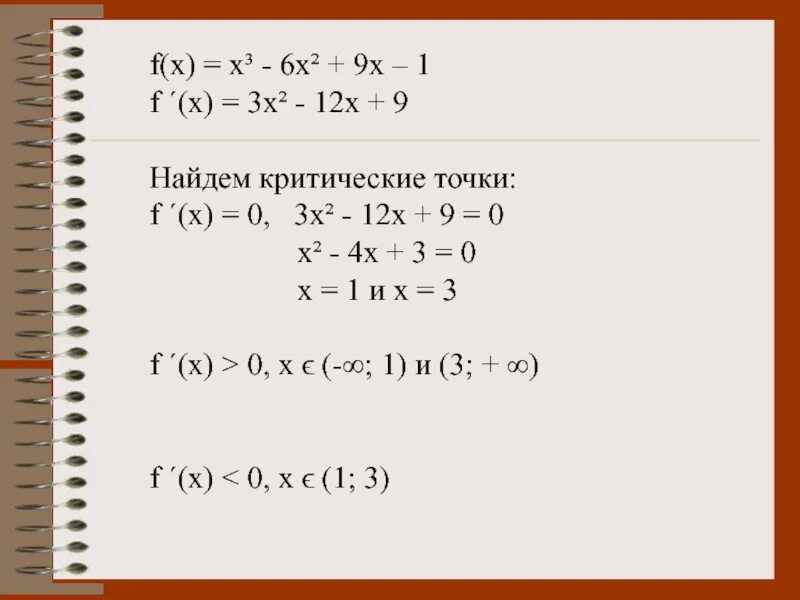
F x 6x 1