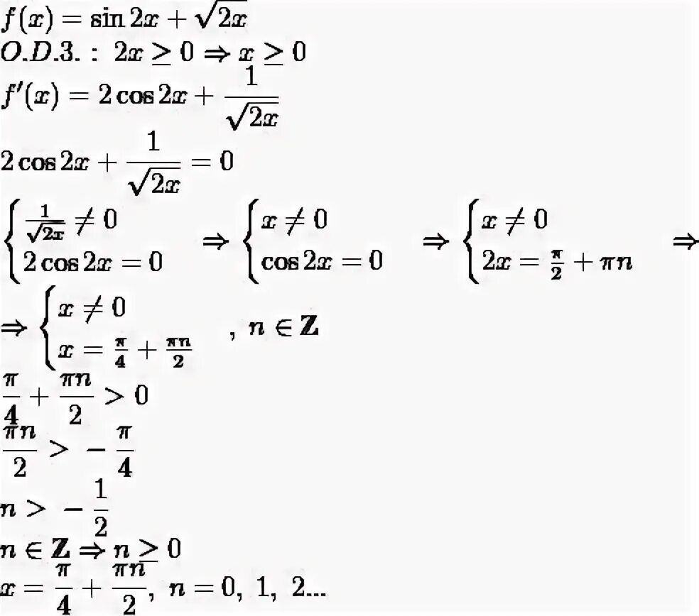
F x sin 2x