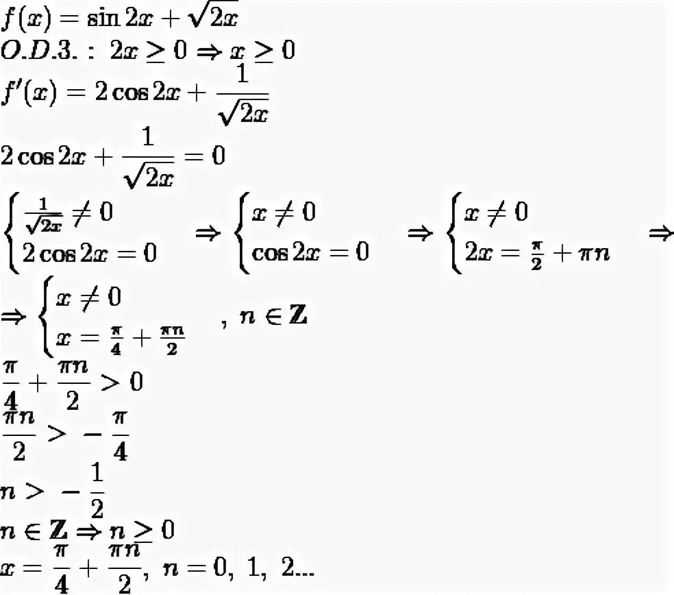
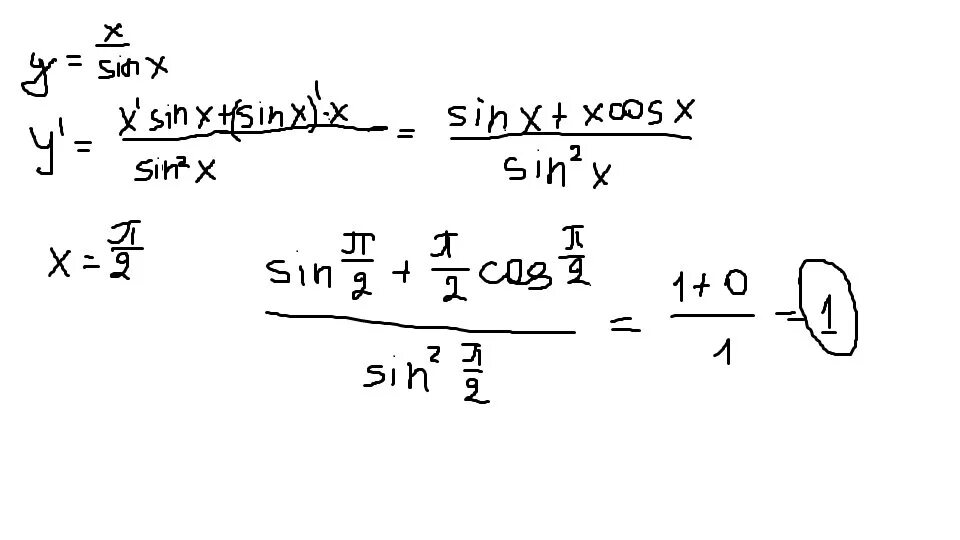
F x sinx x0