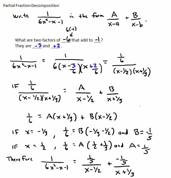
Factoring function