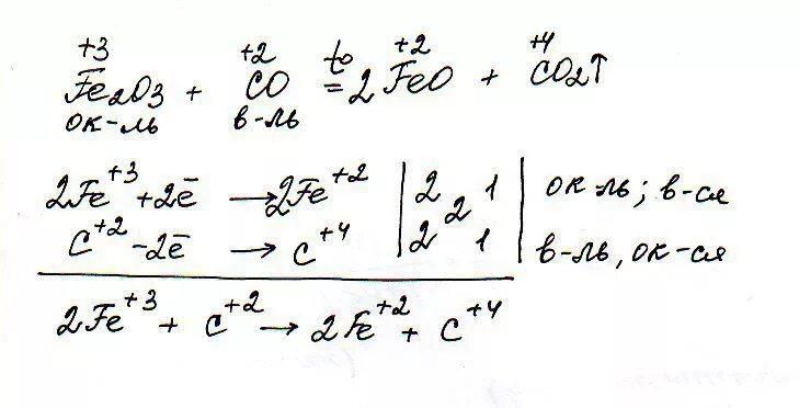
Fe2o3 3c 2fe 3co