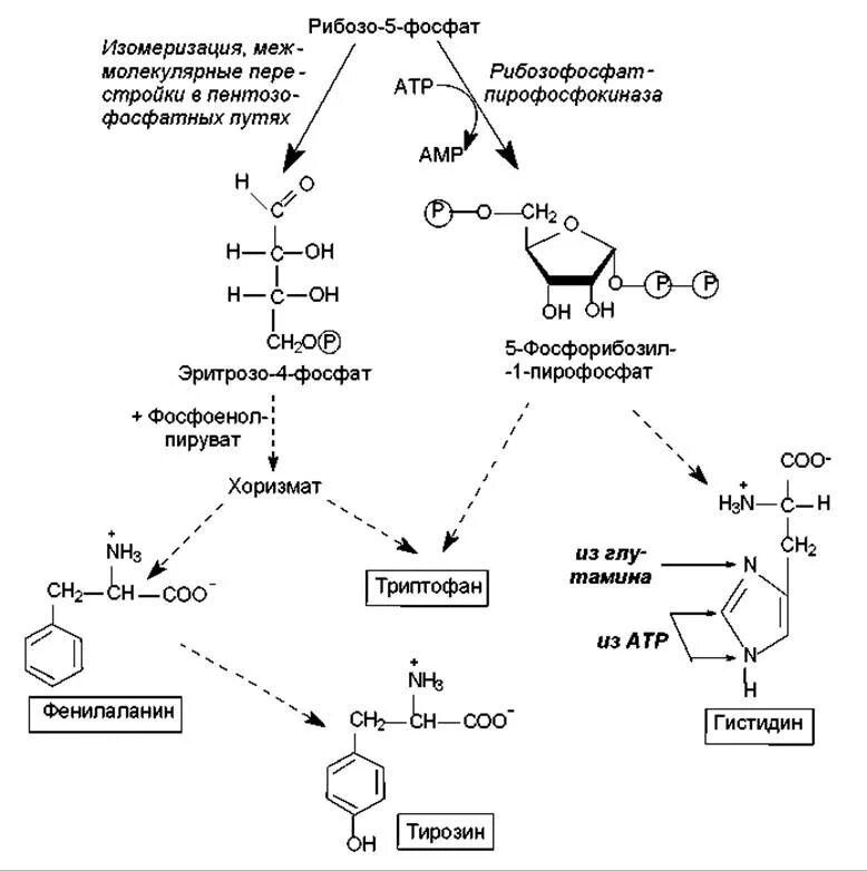
Фенилаланин гистидин