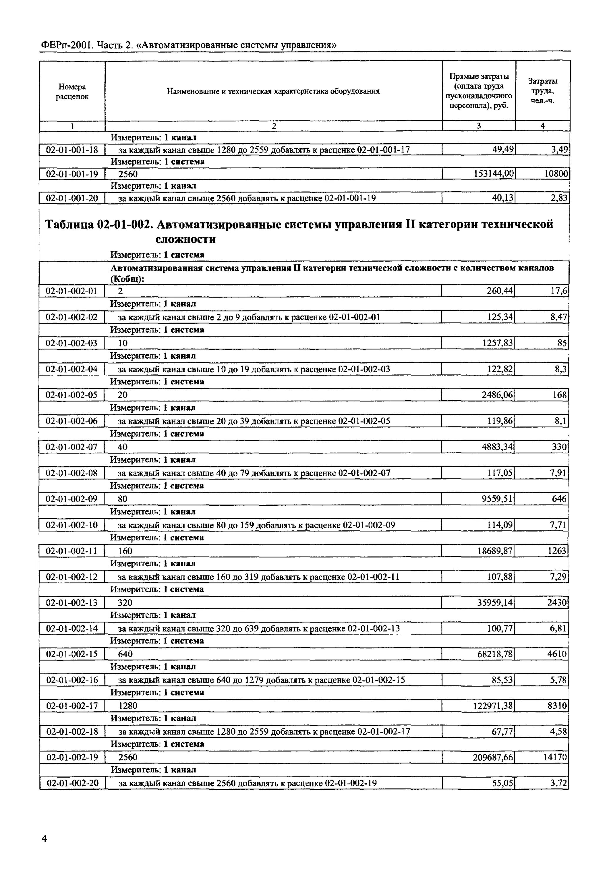
Ферп02 01 002 01