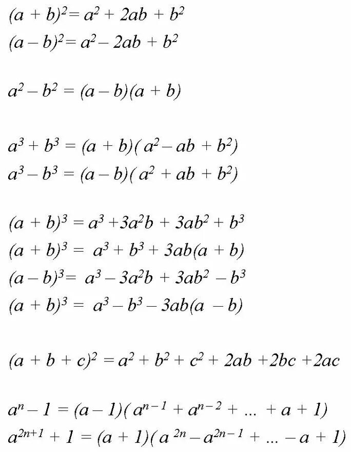
Формула c алгебра