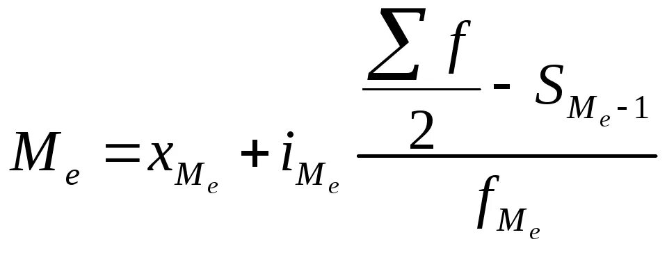
Формула медианы