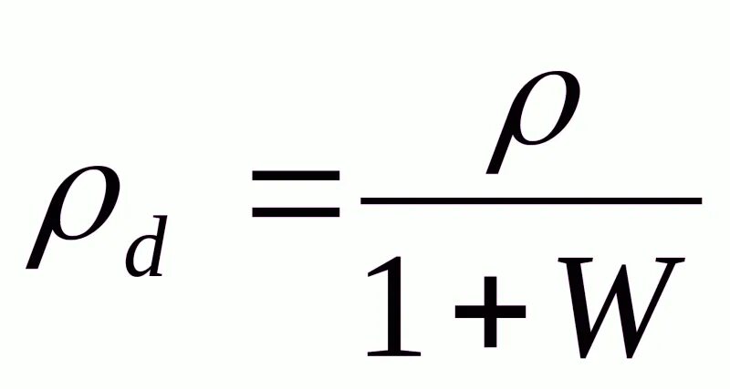
Формула плотности по аргону