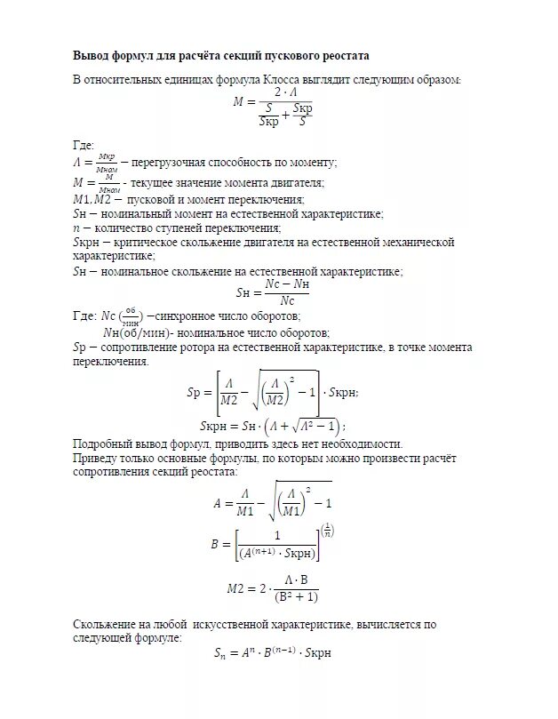
Формула расчета асинхронного двигателя