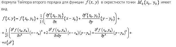
Формула тейлора для функции двух переменных