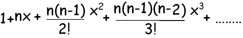
Формула x a x a