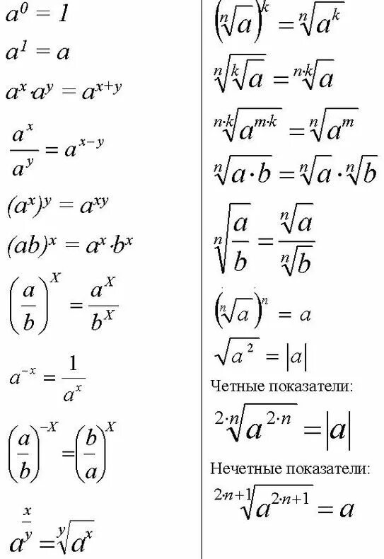
Формулы вычисления степеней