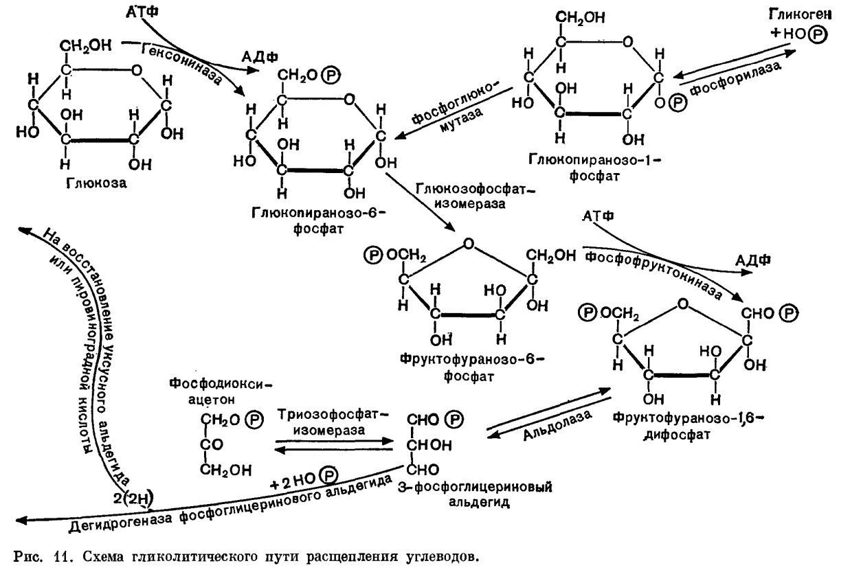
Фосфоглицер